流量、流速与圆形输送管道直径d间有什么关系?

2021-09-16 15:25发布

友情提示: 此问题已得到解决,问题已经关闭,关闭后问题禁止继续编辑,回答。
该问题目前已经被作者或者管理员关闭, 无法添加新回复
1条回答
环境界 - ENVTIME
1楼-- · 2021-09-16 15:27

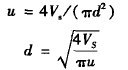
污水处理一般以采用圆形管道为主,因此流量Vs(m3/s)、流速u(m/s)与圆形输送管道直径d(m)间的关系可用下两式表示。

image.png

上两式是设计管道最基本公式,K由处理规模规定,流体在管道中的适宜速度可根据有关资料确定。


一周热门 更多>

相关问题

    相关文章