2021-09-17 12:03发布
影响离心泵性能的因素包括流体的物性、泵的结构和尺寸、泵的转速等。
(l)液体密度的影响
离心泵的流量(Q)、压头(H)均与液体密度无关,效率基本上不随液体密度而改变,因而当被输送液体的密度发生变化时,H一Q、η一Q曲线基本不变,但泵的轴功率与液体密度成正比。
(2)豁度的影响
当被输送液体的勃度大于常温水的猫度时,则液体通过叶轮和泵壳的流动阻力增大,导致泵的流量、压头都要减小,效率下降,而轴功率增大,泵的特性曲线均发生变化。
(3)叶轮机械结构
闭式、半闭式和开式叶轮离心泵的效率各不相同。
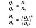
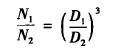
(4)离心泵叶轮直径的影响
当离心泵的转速一定时,其流量(Q)、压头(H)与叶轮直径(D)有关。泵的流量、压头、功率与叶轮直径之间的关系分别如下式所示。
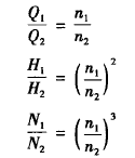
(5)转速的影响
由离心泵基本方程式可知,当泵的转速改变时,泵的流量、压头随之发生变化,并引起功率和效率相应改变。当液体的豁度不大,且设泵的效率基本上不变时,泵的流量(Q)、压头(H)、功率(N)与转速(n)的近似关系如列式所示。
最多设置5个标签!
付费偷看金额在0.1-10元之间
影响离心泵性能的因素包括流体的物性、泵的结构和尺寸、泵的转速等。
(l)液体密度的影响
离心泵的流量(Q)、压头(H)均与液体密度无关,效率基本上不随液体密度而改变,因而当被输送液体的密度发生变化时,H一Q、η一Q曲线基本不变,但泵的轴功率与液体密度成正比。
(2)豁度的影响
当被输送液体的勃度大于常温水的猫度时,则液体通过叶轮和泵壳的流动阻力增大,导致泵的流量、压头都要减小,效率下降,而轴功率增大,泵的特性曲线均发生变化。
(3)叶轮机械结构
闭式、半闭式和开式叶轮离心泵的效率各不相同。
(4)离心泵叶轮直径的影响
当离心泵的转速一定时,其流量(Q)、压头(H)与叶轮直径(D)有关。泵的流量、压头、功率与叶轮直径之间的关系分别如下式所示。
(5)转速的影响
由离心泵基本方程式可知,当泵的转速改变时,泵的流量、压头随之发生变化,并引起功率和效率相应改变。当液体的豁度不大,且设泵的效率基本上不变时,泵的流量(Q)、压头(H)、功率(N)与转速(n)的近似关系如列式所示。
一周热门 更多>