2021-09-08 15:46发布
虽然自由沉降颗粒的沉降速度在一定条件下可以计算,但由于实际废水中悬浮物组成十分复杂,颗粒粒径不均匀,形状多种多样,密度也有差异,因此常常不能采用上述理论公式计算沉降速度和沉降效率,只能通过沉降试验寻找沉降设备的设计参数。
沉降试验是在沉降柱中进行的。将含悬浮物质量浓度为C0的原水混合均匀后,注入一组(通常5个一7个)如下图所示的沉降柱中。经t1时间沉僻后,从第一沉降柱深度为H处取样,测定试样冲悬浮物质量浓度C1;沉降时间为t2时,从第二沉降柱深度同为H处取样,分析试样中悬浮物质量浓度C2,依此类推,直到规定的沉降时间。所得数据为沉降时间t1、t2、t3⋯,相对应的试样中悬浮物质量浓度值分别为C1、C2、C3⋯。然后将所得数据列表,并进行处理即可得到指定沉降时间时悬浮物的去除率。沉降的高度H一般为1.5m一2.0m。
具体步骤如下:
(1)根据废水的性质和希望达到的去除率估计所需的总沉降时间沉降时间间隔和取样的次数。总沉降时间应使总去除率达到95%以上。取样次数-般为5次~7次,取样太多。测定所需的时间和费用高,数据处理也麻烦,次数太少则准确性差。然后确定所需沉降柱的数目。
(2)将待测废水搅拌均匀,加人到备沉降柱中,真至水从上部溢流口溢出为止,搅拌均匀并测定原始质量浓度Co。
(3)搅拌均匀后开始计时,并按确定好的时间间隔从不同的沉降柱取样口取样,分别测定相应的悬浮物质量浓度C1、C2....并把结果填人如表4 -1所示的记录表中。
(4)计算各沉降时间的沉降速度ul = H/tl。它的意义是在时间t,内能沉降H高度的最小颗粒的沉降速度。.
(5)计算剩余固体分敷x,xl=cl/c0,它的意义是悬浮物中沉降速度小于ul 的颗粒占悬浮物总量的分数。因为在沉降t,时间时,悬浮物中沉降速度大于ul 的颗粒己全部沉降过了取样口,而沉降速度小于ul 的颗粒的质量浓度不变。可得如表4 -1所示的数据。
(6)以沉降速度u为横坐标,x为纵坐标作图,如图4 -2所示。
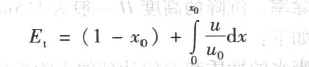
(7)按下式计算,求出指定沉降速度u0或指定沉降时间t0(u0=H/t0)时悬浮物的总去除率E为
(8)按上述方法求出不同沉降时间的总去除率,再以沉降时间t为横坐标,总去除率Et为纵坐标作图,即可得到总去除率与沉降时间之间的关系,如下图所示。我们就可以根据确定的沉降时间找到该时间的总去除率,也可以根据要求的总去除率来确定所需的沉降时间。
最多设置5个标签!
付费偷看金额在0.1-10元之间
虽然自由沉降颗粒的沉降速度在一定条件下可以计算,但由于实际废水中悬浮物组成十分复杂,颗粒粒径不均匀,形状多种多样,密度也有差异,因此常常不能采用上述理论公式计算沉降速度和沉降效率,只能通过沉降试验寻找沉降设备的设计参数。
沉降试验是在沉降柱中进行的。将含悬浮物质量浓度为C0的原水混合均匀后,注入一组(通常5个一7个)如下图所示的沉降柱中。经t1时间沉僻后,从第一沉降柱深度为H处取样,测定试样冲悬浮物质量浓度C1;沉降时间为t2时,从第二沉降柱深度同为H处取样,分析试样中悬浮物质量浓度C2,依此类推,直到规定的沉降时间。所得数据为沉降时间t1、t2、t3⋯,相对应的试样中悬浮物质量浓度值分别为C1、C2、C3⋯。然后将所得数据列表,并进行处理即可得到指定沉降时间时悬浮物的去除率。沉降的高度H一般为1.5m一2.0m。
具体步骤如下:
(1)根据废水的性质和希望达到的去除率估计所需的总沉降时间沉降时间间隔和取样的次数。总沉降时间应使总去除率达到95%以上。取样次数-般为5次~7次,取样太多。测定所需的时间和费用高,数据处理也麻烦,次数太少则准确性差。然后确定所需沉降柱的数目。
(2)将待测废水搅拌均匀,加人到备沉降柱中,真至水从上部溢流口溢出为止,搅拌均匀并测定原始质量浓度Co。
(3)搅拌均匀后开始计时,并按确定好的时间间隔从不同的沉降柱取样口取样,分别测定相应的悬浮物质量浓度C1、C2....并把结果填人如表4 -1所示的记录表中。
(4)计算各沉降时间的沉降速度ul = H/tl。它的意义是在时间t,内能沉降H高度的最小颗粒的沉降速度。.
(5)计算剩余固体分敷x,xl=cl/c0,它的意义是悬浮物中沉降速度小于ul 的颗粒占悬浮物总量的分数。因为在沉降t,时间时,悬浮物中沉降速度大于ul 的颗粒己全部沉降过了取样口,而沉降速度小于ul 的颗粒的质量浓度不变。可得如表4 -1所示的数据。
(6)以沉降速度u为横坐标,x为纵坐标作图,如图4 -2所示。
(7)按下式计算,求出指定沉降速度u0或指定沉降时间t0(u0=H/t0)时悬浮物的总去除率E为
(8)按上述方法求出不同沉降时间的总去除率,再以沉降时间t为横坐标,总去除率Et为纵坐标作图,即可得到总去除率与沉降时间之间的关系,如下图所示。我们就可以根据确定的沉降时间找到该时间的总去除率,也可以根据要求的总去除率来确定所需的沉降时间。
一周热门 更多>