王洪臣:污水处理厂疫期应急对策

2021-01-11 10:23发布

近日,针对新型冠状病毒感染肺炎疫情,我院王洪臣教授接受了中国水网采访,为污水处理厂疫情应急献策。


王洪臣教授认为,重大疫情面前,每个城镇污水处理厂应处理好两件事情:一是确保处理厂正常稳定运行,二是做好运行操作人员的安全防护。看到武汉水务集团及时迅速地启动战时应急保障机制,确保武汉城区10座污水处理厂正常运行,我们应该为此点赞!在疫情防控期间,全国5000多座城镇污水处理厂都保持正常运行、让每天产生的两亿多吨污水都得到正常处理,几十万一线运营人员在岗位上不被病毒感染,这将是污水处理行业对全国疫情防控的一大贡献。


把握水量水质变化规律,及时调整工艺参数,确保正常运行


疫情期间,正值假期,人员流动大且没规律,污水量也会随之无序波动。大城市污水量会明显降低,但随着开始返程又会增大,小城镇污水量变化会更大。污水处理厂应密切关注水量变化,及时投入与水量相匹配的设施设备,确保运行稳定。应注意,“小马拉大车”或“大马拉小车”都不利于稳定运行。


当前公共场所和家庭为防控疫情多采用含氯消毒剂进行消毒,污水中如存在过量余氯,将可能降低或抑制活性污泥的活性,影响生物处理单元的正常运行。对于接纳较多医疗污水的小型城镇污水处理厂,尤其应予以高度关注。好氧生物处理,既是去除黑臭污染物质的核心单元,也是去除、杀灭或抑制病原微生物的最重要环节,必须采取一切措施优先保证好氧生物处理的运行稳定。首先,应加大水质监测和运行巡查项目及频次,及时发现并排除运行异常状况。北京排水集团对各再生水厂进出水紧急增加了余氯监测,首创股份有限公司要求所属150多座污水处理厂把运行巡查周期由4小时缩短为2小时,提升运行保障等级。其次,应开展污泥活性监测或观测,跟踪把握余氯对污泥活性的影响,视情及时采取相应对策。生物相观测是监测污泥活性状态的方法之一,当生物相观测发现原生和后生动物死亡或减少,即说明活性污泥已经中毒或活性被抑制,建议有条件的污水处理厂通过测定活性污泥的比耗氧速率(SOUR)提前预警污泥活性的变化。国际上有比耗氧速率(SOUR)标准测定方法(Test for inhibition of oxygen consumption by activated sludge for carbonaceous and ammonium oxidation, ISO8192:2007),可准确测定污泥活性,少部分污水处理厂安装了在线SOUR测定仪,可动态实时监测污泥活性的变化。紧急状态下,可临时采用简易方法测定污泥活性(见附件),粗略把握污泥活性状况。当发现污泥活性降低时,可减少剩余活性污泥排放量,提高污泥浓度,同时适当增大曝气量,确保污水处理效果。提高污泥浓度时,应注意核算二沉池固体表面负荷,监测泥水界面,防止污泥流失。在污水生物处理单元运行稳定的前提下,消毒单元应保持正常运行,出水水质严格执行《城镇污水处理厂污染物排放标准》(GB18918-2002)中卫生学指标的要求,没有特殊情况不需要过量投加消毒药剂。


严格做好污水处理厂运行操作人员的安全防护


2019新型冠状病毒(2019-nCoV)的传播途径及归趋机制目前尚不完全清晰,但绝大多数病原体通常都可在下水道传播,并存在通过气溶胶在一定空间内传播的可能。因此,加强污水处理厂现场运行操作人员的安全防护就成为重中之重。全厂各岗位的操作人员均应按基本要求佩戴口罩和手套等防护用品,作业完毕后及时全面清洗。应特别注意:污水提升泵站以及格栅间和沉砂池(尤其是曝气沉砂池)等预处理单元是污水处理厂高风险场所,在这些场所巡视或操作时应提高防护等级,除口罩和手套以外还必须佩戴护目镜,进入封闭的预处理车间进行较长时间操作时,建议着防护服并佩戴呼吸器。大疫当前,按要求佩戴防护用品进行安全操作应该成为当前污水处理厂全体职工的铁律!


另外,一些城市没有把污水处理厂纳入防疫物资重点供应体系,一些污水处理厂存在药剂及防护用品购买困难,呼吁防疫指挥部门务必关注污水处理厂物资和用品供应,使之纳入保障供应体系,确保污水处理厂发挥应有的防疫功能。


附:污泥活性(SOUR)简易测定方法及判断


1装置准备:DO测定仪、温度计、300ml容量BOD培养瓶、磁力搅拌器、计时器


2. 测定程序:


(1)从曝气池取适量混合液固体(MLSS),在实验室内连续曝气5~10分钟,测定混合液的温度T(℃),之后注入300ml容量BOD培养瓶,插入DO探头并将瓶口密封;


(2)将BOD培养瓶置于磁力搅拌器上开始搅拌;


(3)记录瓶中DO随时间的变化,每隔30秒钟记录一次,持续大约10-15分钟,使DO降低超过1 mg / L,否则继续延长记录时间;


(4)测定混合液挥发性悬浮固体(MLVSS,g/L)。


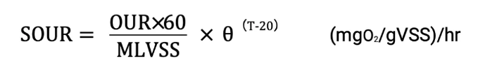
3. 计算方法:将测得的DO随时间变化绘制成曲线,截取曲线中的线性部分求其斜率,该斜率即为耗氧速率(OUR),单位为(mgO2/L)/min。SOUR计算公式为:



当T≥20℃时,θ=1.05 ;当T<20℃时,θ=1.07


4. 污泥活性判断


从曝气池不同位置取样,测定的SOUR也不一样。从曝气池好氧段首端取样测得的用SOURfed表示,从曝气池末端取样测得的用SOURend表示,SOURfed通常高于SOURend。SOUR受很多具体因素影响,各污水处理厂应以自行比较为主,当SOUR比以往数据降低,说明活性污泥受到某些因素影响导致活性降低。当缺乏本厂历史数据时,可用依据下表判断污泥活性是否正常,当实测SOURend低于对应的参考值,说明污泥活性由于某种因素被抑制:


可依据SOURfed和SOURend的比值判断污泥活性是否抑制,具体见下表。


文章来源:环境我家  2020-02-03

赞赏支持